• 13.4 稳定性

    13.4 稳定性

    稳定性考察的是当算法的输入发生变化时,输出是否会随之发生较大的变化,输入的数据集D有以下两种变化:

    16.png

    若对数据集中的任何样本z,满足:

    17.png

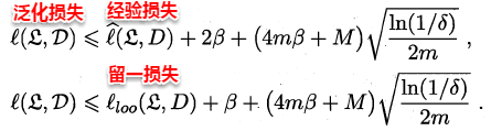
    即原学习器和剔除一个样本后生成的学习器对z的损失之差保持β稳定,称学习器关于损失函数满足β-均匀稳定性。同时若损失函数有上界,即原学习器对任何样本的损失函数不超过M,则有如下定理:

    18.png

    事实上,若学习算法符合经验风险最小化原则(ERM)且满足β-均匀稳定性,则假设空间是可学习的。稳定性通过损失函数与假设空间的可学习联系在了一起,区别在于:假设空间关注的是经验误差与泛化误差,需要考虑到所有可能的假设;而稳定性只关注当前的输出假设。

    在此,计算学习理论就介绍完毕,一看这个名字就知道这一章比较偏底层理论了,最终还是咬着牙看完了它,这里引用一段小文字来梳理一下现在的心情:“孤岂欲卿治经为博士邪?但当涉猎,见往事耳”,就当扩充知识体系吧~