• 10.1 距离度量

    10.1 距离度量

    谈及距离度量,最熟悉的莫过于欧式距离了,从年头一直用到年尾的距离计算公式:即对应属性之间相减的平方和再开根号。度量距离还有其它的很多经典方法,通常它们需要满足一些基本性质:

    1.png

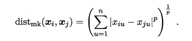
    最常用的距离度量方法是“闵可夫斯基距离”(Minkowski distance)

    2.png

    当p=1时,闵可夫斯基距离即曼哈顿距离(Manhattan distance)

    3.png

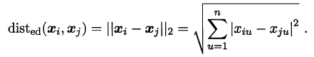
    当p=2时,闵可夫斯基距离即欧氏距离(Euclidean distance)

    4.png

    我们知道属性分为两种:连续属性离散属性(有限个取值)。对于连续值的属性,一般都可以被学习器所用,有时会根据具体的情形作相应的预处理,例如:归一化等;而对于离散值的属性,需要作下面进一步的处理:

    若属性值之间存在序关系,则可以将其转化为连续值,例如:身高属性“高”“中等”“矮”,可转化为{1, 0.5, 0}。若属性值之间不存在序关系,则通常将其转化为向量的形式,例如:性别属性“男”“女”,可转化为{(1,0),(0,1)}。

    在进行距离度量时,易知连续属性和存在序关系的离散属性都可以直接参与计算,因为它们都可以反映一种程度,我们称其为“有序属性”;而对于不存在序关系的离散属性,我们称其为:“无序属性”,显然无序属性再使用闵可夫斯基距离就行不通了。

    对于无序属性,我们一般采用VDM进行距离的计算,例如:对于离散属性的两个取值a和b,定义:

    5.png

    于是,在计算两个样本之间的距离时,我们可以将闵可夫斯基距离和VDM混合在一起进行计算:

    6.png

    若我们定义的距离计算方法是用来度量相似性,例如下面将要讨论的聚类问题,即距离越小,相似性越大,反之距离越大,相似性越小。这时距离的度量方法并不一定需要满足前面所说的四个基本性质,这样的方法称为:非度量距离(non-metric distance)