• 朴素贝叶斯
    • 概率

    朴素贝叶斯

    还是让我们回到运动员的例子。如果我问你Brittney Griner的运动项目是什么,她有6尺8寸高,207磅重,你会说“篮球”;我再问你对此分类的准确度有多少信心,你会回答“非常有信心”。

    我再问你Heather Zurich,6尺1寸高,重176磅,你可能就不能确定地说她是打篮球的了,至少不会像之前判定Brittney那样肯定。因为从Heather的身高体重来看她也有可能是跑马拉松的。

    最后,我再问你Yumiko Hara的运动项目,她5尺4寸高,95磅重,你也许会说她是跳体操的,但也不太敢肯定,因为有些马拉松运动员也是类似的身高体重。

    朴素贝叶斯 - 图1

    使用近邻算法时,我们很难对分类结果的置信度进行量化。但如果使用的是基于概率的分类算法——贝叶斯算法——那就可以给出分类结果的可能性了:这名运动员有80%的几率是篮球运动员;这位病人有40%的几率患有糖尿病;拉斯克鲁塞斯24小时内有雨的概率是10%。

    近邻算法又称为被动学习算法。这种算法只是将训练集的数据保存起来,在收到测试数据时才会进行计算。如果我们有10万首音乐,那每进行一次分类,都需要遍历这10万条记录才行。

    朴素贝叶斯 - 图2

    贝叶斯算法则是一种主动学习算法。它会根据训练集构建起一个模型,并用这个模型来对新的记录进行分类,因此速度会快很多。

    朴素贝叶斯 - 图3

    所以说,贝叶斯算法的两个优点即:能够给出分类结果的置信度;以及它是一种主动学习算法。

    概率

    相信大多数人对概率并不陌生。比如投掷一个硬币,正面出现的概率是50%;掷骰子,出现1点的概率是16.7%;从一群19岁的青少年中随机挑出一个,让你说出她是女生的可能性,你会回答50%。

    以上这些我们用符号P(h)来表示,即事件h发生的概率:

    • 投掷硬币:P(正面) = 0.5
    • 掷骰子:P(1) = 1/6
    • 青少年:P(女生) = 0.5

    如果我再告诉你一些额外的信息,比如这群19岁的青少年都是弗兰科学院建筑专业的学生,于是你到Google上搜索后发现这所大学的女生占86%,这时你就会改变你的答案——女生的可能性是86%。

    这一情形我们用P(h|D)来表示,即D条件下事件h发生的概率。比如:

    P(女生|弗兰克学院的学生) = 0.86

    计算的公式是:

    朴素贝叶斯 - 图4

    再举一个例子,下表是一些人使用笔记本电脑和手机的品牌:

    朴素贝叶斯 - 图5

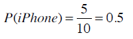
    使用iPhone的概率是多少?

    朴素贝叶斯 - 图6

    如果已知这个人使用的是Mac笔记本,那他使用iPhone的概率是?

    朴素贝叶斯 - 图7

    首先计算出同时使用Mac和iPhone的概率:

    朴素贝叶斯 - 图8

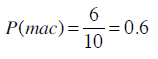
    使用Mac的概率则是:

    朴素贝叶斯 - 图9

    从而计算得到Mac用户中使用iPhone的概率:

    朴素贝叶斯 - 图10

    以上是正规的解法,不过为了简单起见,我们可以直接通过计数得到:

    朴素贝叶斯 - 图11

    练习

    iPhone用户中使用Mac的概率是?

    朴素贝叶斯 - 图12

    术语

    P(h)表示事件h发生的概率,称为h的先验概率。在我们进行任何计算之前就已经得知人们使用Mac的概率是0.6。计算之后我们可能会得知使用Mac的人同时会使用iPhone。

    P(h|d)称为后验概率,表示在观察了数据集d之后,h事件发生的概率是多少。比如说,我们在观察了使用iPhone的用户后可以得出他们使用Mac的概率是多少。后验概率又称为条件概率

    在构建一个贝叶斯分类器前,我们还需要两个概率:P(D)和P(D|h),请看下面的示例。